Turnieje handlowe z Wynikiem Handlowym

Turniej handlowy oparty na Wyniku Handlowym (TS, %) klasyfikuje uczestników według procentowej wartości TS, jaką uzyskali podczas konkursu. Ta metryka odzwierciedla, jak skutecznie trader zwiększa swój zainwestowany kapitał bez użycia dźwigni finansowej.

Czym jest Wynik Handlowy?

Wynik Handlowy (TS, %) to wskaźnik wydajności, który pozwala ocenić rentowność twoich transakcji. Porównuje on całkowitą kwotę uzyskaną ze sprzedaży aktywów (po odliczeniu prowizji) z kwotą wydaną na ich zakup. Lub odwrotnie, jeśli jest to pozycja krótka, najpierw sprzedajesz, a potem kupujesz. Pomaga to dokładnie określić rzeczywisty dochód z handlu bez uwzględniania dźwigni.

Wzór na Wynik Handlowy

Gdzie:

Wyjaśnienie:

  • Σ Sprzedaż — łączna wartość wszystkich transakcji sprzedaży
  • Σ Zakup — łączna wartość wszystkich transakcji zakupu
  • Σ Opłaty — łączna wartość zapłaconych opłat
  • - 1 służy do powiązania wskaźnika z całą pozycją

Ta metryka daje jasny obraz, jak opłacalny był twój handel — niezależnie od pożyczonych środków lub zmian salda konta.

Jak działa TS w turniejach handlowych?

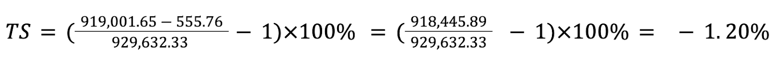
Spójrzmy na przykład z wieloma pozycjami łączonymi:

Transakcje użytkownika podczas konkursu:

  • Łączna wartość sprzedaży: 919 001,65 USDT
    Łączne opłaty zapłacone: 555,76 USDT
  • Łączna wartość zakupów: 929 632,33 USDT

Obliczenie TS:

Tak więc, pomimo wysokich wolumenów handlowych, użytkownik skończył z ujemnym TS, co oznacza, że jego transakcje przyniosły nieco mniej niż początkowo zainwestowano.

Przykłady obliczeń TS dla poszczególnych pozycji

1. Pozycja długa

  • Kupno: 260,78 USDT
  • Sprzedaż: 258,36 USDT
  • Opłaty: 0,16 USDT
  • TS: −0,99%

2. Pozycja krótka

  • Kupno: 332 849,54 USDT
  • Sprzedaż: 317 283,38 USDT
  • Opłaty: 195,04 USDT
  • TS: −4,74%

3. Pozycja krótka

  • Kupno: 512 372,40 USDT
  • Sprzedaż: 515 371,00 USDT
  • Opłaty: 308,32 USDT
  • TS: +0,53%

4. Krótka mikro pozycja

  • Kupno: 88,6 USDT
  • Sprzedaż: 88,9 USDT
  • Opłaty: 0,18 USDT
  • TS: +0,14%

5. Abstrakcyjna pozycja długa

  • Kupno: 84 061 USDT
  • Sprzedaż: 86 000 USDT
  • Opłaty: 52,06 USDT
  • TS: +2,24%

Podsumowanie

Metryka Wyniku Handlowego podkreśla efektywność handlu ponad agresywne strategie czy duże wolumeny. Sukces w konkursach opartych na TS sprowadza się do precyzyjnych, dobrze wyważonych transakcji, minimalizowania opłat i unikania zbędnych operacji. Im dokładniej kupujesz i sprzedajesz, tym wyższy twój wynik — i lepsze szanse na wspinaczkę w rankingu.

FAQ

Jak często aktualizowany jest TS?
Twój TS jest przeliczany co najmniej co 30 minut na podstawie wykonanych zleceń, włącznie z opłatami.

 

Czy TS uwzględnia dźwignię?
Nie. TS to surowa miara wyniku twojego handlu bez dźwigni. Skupia się wyłącznie na skuteczności kupna/sprzedaży.

 

Co się stanie, jeśli otworzę i zamknę wiele pozycji?
Wszystkie twoje pozycje zostaną zsumowane. Kilka źle zarządzanych transakcji może obniżyć twój ogólny TS, dlatego kluczowa jest strategiczna realizacja.

 

Czy mogę śledzić mój TS w czasie rzeczywistym?
Tak, TS jest wyświetlany na tablicy wyników konkursu i aktualizuje się automatycznie.

Czy ten artykuł był pomocny?

Liczba użytkowników, którzy uważają ten artykuł za przydatny: 1 z 1

Masz więcej pytań? Wyślij zgłoszenie