Трейдинговые турниры с Trading Score

Торговое соревнование (trading competition), основанное на Trading Score (TS, %), ранжирует участников по проценту TS, который они зарабатывают во время соревнования. Этот показатель отражает, насколько эффективно трейдер увеличивает вложенный капитал без использования кредитного плеча.

Что такое Trading Score?

Trading Score (TS, %) — это метрика эффективности, позволяющая оценить прибыльность ваших сделок. Она сравнивает общую сумму, полученную от продажи активов (за вычетом комиссий), с суммой, потраченной на их покупку. Или наоборот, если это короткая позиция, вы сначала продаёте, а затем покупаете. Это помогает точно определить реальный доход от торговли без учёта кредитного плеча.

Формула Trading Score

Где:

Объяснение:

  • Σ Sell — общая стоимость всех сделок на продажу
  • Σ Buy — общая стоимость всех сделок на покупку
  • Σ Fees — общая сумма уплаченных комиссий
  • - 1 используется для соотнесения показателя с полной позицией

Эта метрика даёт чёткое представление о том, насколько прибыльной была ваша торговля — независимо от заёмных средств или изменений баланса счёта.

Как работает TS в торговых соревнованиях?

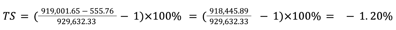
Рассмотрим пример с несколькими объединёнными позициями:

Сделки пользователя во время соревнования:

  • Общая сумма продаж: 919 001,65 USDT
    Общая сумма уплаченных комиссий: 555,76 USDT
  • Общая сумма покупок: 929 632,33 USDT

Расчёт TS:

Таким образом, несмотря на высокие торговые объёмы, пользователь завершил с отрицательным TS, что означает, что его сделки принесли чуть меньше, чем было изначально инвестировано.

Примеры расчёта TS по позициям

1. Длинная позиция

  • Покупка: 260,78 USDT
  • Продажа: 258,36 USDT
  • Комиссии: 0,16 USDT
  • TS: −0,99%

2. Короткая позиция

  • Покупка: 332 849,54 USDT
  • Продажа: 317 283,38 USDT
  • Комиссии: 195,04 USDT
  • TS: −4,74%

3. Короткая позиция

  • Покупка: 512 372,40 USDT
  • Продажа: 515 371,00 USDT
  • Комиссии: 308,32 USDT
  • TS: +0,53%

4. Короткая микропозиция

  • Покупка: 88,6 USDT
  • Продажа: 88,9 USDT
  • Комиссии: 0,18 USDT
  • TS: +0,14%

5. Абстрактная длинная позиция

  • Покупка: 84 061 USDT
  • Продажа: 86 000 USDT
  • Комиссии: 52,06 USDT
  • TS: +2,24%

Вывод

Метрика Trading Score подчёркивает эффективность торговли, а не агрессивные стратегии или большие объёмы. Успех в соревнованиях на основе TS зависит от точных, своевременных сделок, минимизации комиссий и избегания ненужных транзакций. Чем точнее вы покупаете и продаёте, тем выше ваш счёт — и тем больше шансов подняться в таблице лидеров.

Часто задаваемые вопросы

Как часто обновляется TS?
Ваш TS пересчитывается как минимум каждые 30 минут на основе выполненных ордеров, включая комиссии.

 

Включает ли TS кредитное плечо?
Нет. TS — это чистая оценка результата вашей торговли без кредитного плеча. Он учитывает только эффективность ваших покупок и продаж.

 

Что происходит, если я открываю и закрываю много позиций?
Все ваши позиции суммируются. Несколько плохо управляемых сделок могут снизить общий TS, поэтому важна стратегическая реализация.

 

Могу ли я отслеживать свой TS в реальном времени?
Да, TS отображается в таблице лидеров соревнования и обновляется автоматически.

Была ли эта статья полезной?

Пользователи, считающие этот материал полезным: 1 из 1

Еще есть вопросы? Отправить запрос